Azərbaycanın mebel şirkətinin satışı kəskin artıb, 102 milyon manatdan çox gəlir əldə edib
1996-cı ildə əsası qoyulmuş və mebellərin istehsalı ilə məşğul olan "Embawood" şirkəti 2024-cü ili 2 milyon 281 min manat xalis mənfəət ilə başa vurub. Halbuki, Şirkət 2023-cü ili 434 min manat xalis mənfəət ilə bağlamışdı. Beləliklə, "Embawood" şirkətinin xalis mənfəəti 2024-cü ildə 2023-cü illə müqayisədə 1 milyon 847 min manat və ya 5,2 dəfə artıb.
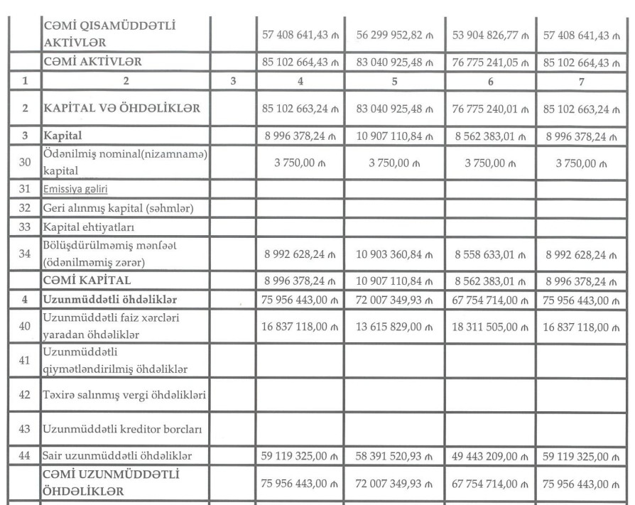
Marja.az xəbər verir ki, "Embawood" şirkətinin satışdan gəlirləri 2023-cü ildə 59 milyon 726 min manat ikən, 2024-cü ildə 102 milyon 430 min manata yüksəlib (42 milyon 704 min manat və ya 71,5% artıb).
2024-cü ildə "Embawood" şirkətinin cəmi əməliyyat gəlirləri 102 milyon 436 min manat cəmi əməliyyat xərcləri 99 milyon 585 min manat, əməliyyat mənəəti 2 milyon 851 min manat təşkil edib. Şirkət 2024-cü ildə 570 min manat mənfəət vergisi ödəyib.
31 dekabr 2024-cü il tarixində "Embawood" şirkəti 83 milyon 41 min manat cəmi aktivlərə malik olub. Şirkət 2023-cü ilin sonunda 85 milyon 102 min manat cəmi aktivlərə malik idi.
Müştərilərin xəbərləri
SON XƏBƏRLƏR
- 1 ay sonra
- 2 həftə sonra
-
6 saat əvvəl
NEQSOL Holding şəhid ailələrinə və qazilərə dəstəyini davam etdirir
-
- 7 saat əvvəl
- 7 saat əvvəl
- 1 gün əvvəl
- 2 gün əvvəl
-
2 gün əvvəl
Azərbaycanda süd istehsalı həcminin 10 %, ət istehsalının 20 % artırılması nəzərdə tutulur
- 2 gün əvvəl
-
2 gün əvvəl
SOCAR Çn şirkətilə “Abşeron” layihəsi çərçivəsində mümkün əməkdaşlığı nəzərdən keçirib
-
2 gün əvvəl
Avenue 8 öz fərqli memarlıq fəlsəfəsi ilə WUF 13 forumunda – VİDEO
-
2 gün əvvəl
Unicapital İnvestisiya Şirkəti 2025-ci ilin maliyyə nəticələrini açıqlayıb
Son Xəbərlər
Azvak.az-da yeni iş elanları
55 manatdan bank səhmdarı olmaq fürsəti: SON 18 GÜN
NEQSOL Holding şəhid ailələrinə və qazilərə dəstəyini davam etdirir
Bank sərfəli şərtlərlə əmanət qəbuluna davam edir
SOCAR Çn şirkətilə “Abşeron” layihəsi çərçivəsində mümkün əməkdaşlığı nəzərdən keçirib
Avenue 8 öz fərqli memarlıq fəlsəfəsi ilə WUF 13 forumunda – VİDEO
Ən çox oxunanlar
“Avrora Qrup” Qurban Bayramı münasibətilə aztəminatlı ailələrə bayram sovqatı çatdırıb
Bir neçə banka borcu olanlar üçün fürsət – illik 5%-dək endirim!
Dolların 1 iyun üçün rəsmi məzənnəsi müəyyən olunub






.jpg)
.jpg)






.jpg)











