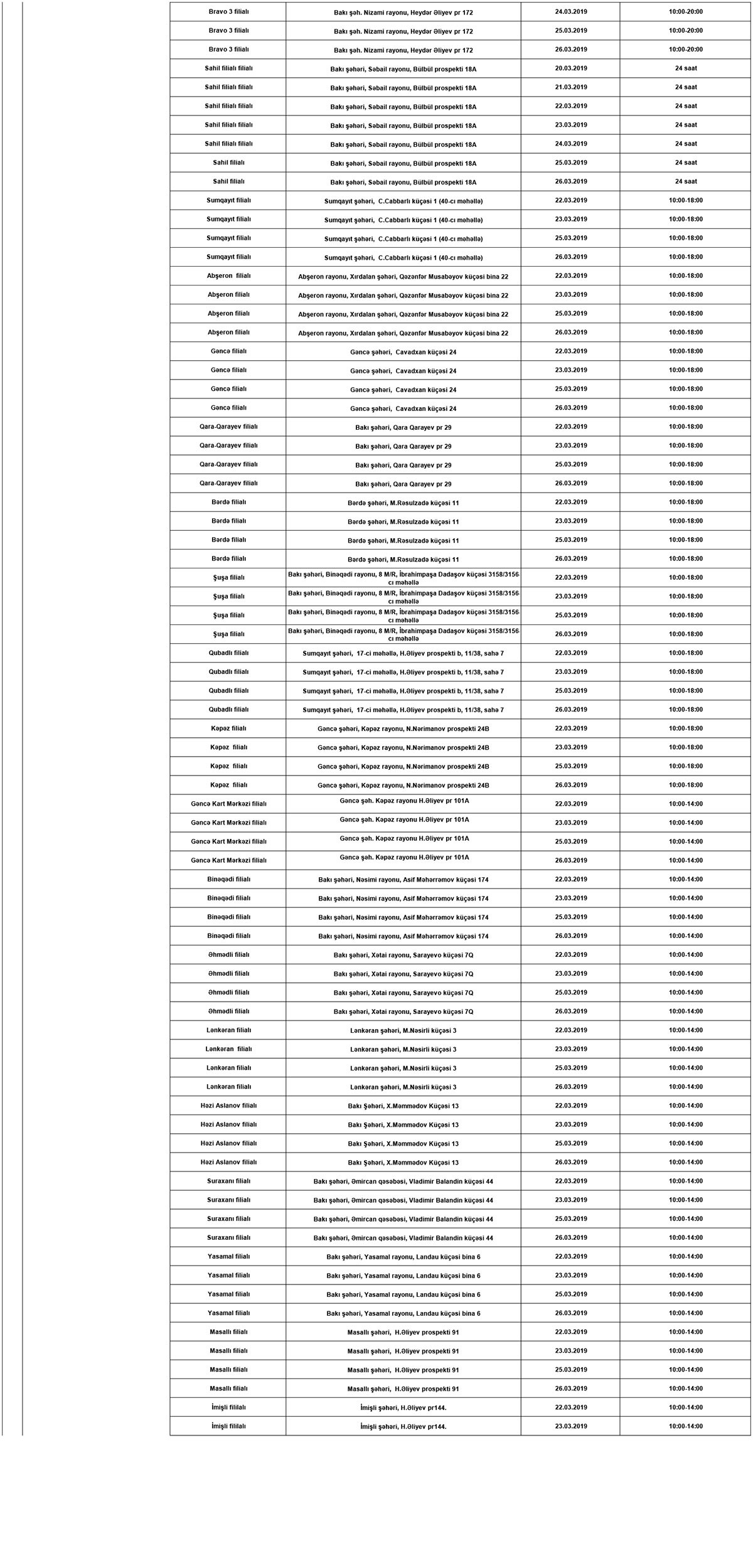
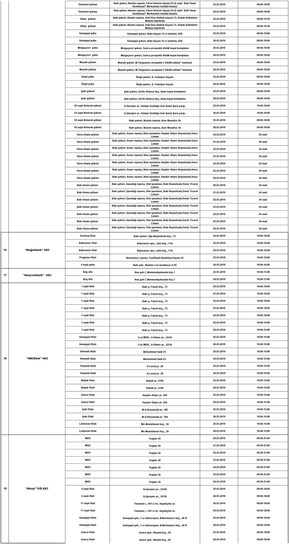
24 bankın 152 filial və şöbəsi gücləndirilmiş iş rejimində çalışacaq - SİYAHI
Ölkə əhalisinin və çoxsaylı turistlərin Novruz bayramı ilə əlaqədar qeyri-iş günləri ərzində bank xidmətlərindən rahat faydalanmasının təmin edilməsi məqsədilə 24 bankın 152 filial və şöbəsi gücləndirilmiş iş rejimində çalışacaq.
Bu barədə "Marja" Maliyyə Bazarlarına Nəzarət Palatasından bildirilib.
Bayram günləri ərzində ölkəmizə əhəmiyyətli turist axınının olacağını nəzərə alaraq onların valyuta mübadiləsi əməliyyatlarını rahat həyata keçirə bilmələri üçün Maliyyə Bazarlarına Nəzarət Palatası paytaxtda və əsas turizm bölgələrində yerləşən bankların filial və şöbələrinə gücləndirilmiş iş rejimində çalışmağı tövsiyə edib.
5 bankın Sumqayıt, Xırdalan, Gəncə, Lənkəran, Şəki, Xaçmaz, Quba, Bərdə, Naxçıvan və digər şəhərlərdə yerləşən 46 filial və şöbəsi müştərilərə xidmət göstərəcək.
Bakıda yerləşən 8 bankın 13 filial və şöbəsi 24/7 rejimində fəaliyyət göstərəcək.
Bundan əlavə, bayram günlərində Palatanın əməkdaşlarından ibarət xüsusi monitorinq qrupu fəaliyyət göstərəcək. Yarana biləcək hər hansı bir problemlə bağlı maliyyə xidmətləri istehlakçıları Palatada yaradılmış qaynar xəttə müraciət edə bilərlər:
Koordinator:
Azər Quluyev
Tel: 493-50-58 (dax:357);
Mob: +994 70 908 62 21
Mail: [email protected]
20-26 mart tarixlərində çalışacaq bank filial və şöbələrinin siyahısı və ünvanları
Müştərilərin xəbərləri
“Avant Group” MTK fəaliyyətini davam etdirir, "“Avant Group” MMC- nin ləğvi “Avant Group” MTK-nın fəaliyyətini dayandırması demək deyil - AÇIQLAMA
SON XƏBƏRLƏR
- 2 ay sonra
- 3 həftə sonra
- 1 gün əvvəl
-
- 1 gün əvvəl
-
1 gün əvvəl
Azercell yeni rouminq internet paketlərini istifadəyə verir - QİYMƏTLƏR
-
2 gün əvvəl
AccessBank kartları ilə ictimai nəqliyyatda ödənişlərə 20% keşbek imkanı!
- 2 gün əvvəl
-
2 gün əvvəl
"BİR KREDİT BOKT" istiqrazlarına 68 investor 68 sifariş təqdim edib
-
2 gün əvvəl
PAŞA Holding-in dəstəyi ilə “Təhsil üçün əl-ələ” layihəsi uğurla həyata keçirilib
- 2 gün əvvəl
- 2 gün əvvəl
- 2 gün əvvəl
Son Xəbərlər
Azərbaycanda Vakansiyalar - Azvak.az
TAMAMİLƏ ÖDƏNİŞSİZ! - QAZANMAĞI ÖYRƏN
Şamaxı və Göyçay heyvan satışı bazarları açılıb
İranda etirazlar davam edir: ölənlərin sayı 51-ə çatıb
"BİR KREDİT BOKT" istiqrazlarına 68 investor 68 sifariş təqdim edib
“Avant Group” MTK fəaliyyətini davam etdirir, "“Avant Group” MMC- nin ləğvi “Avant Group” MTK-nın fəaliyyətini dayandırması demək deyil - AÇIQLAMA
Ən çox oxunanlar
2025-ci ildə qlobal qida qiymətləri düşüb
Dolların Bazar ertəsi üçün rəsmi məzənnəsi müəyyən olunub
AZAL-ın təyyarəsi Tehrana uça bilmədi - Bu günə planlaşdırılan Bakı-Tehran-Bakı reysi ləğv edildi
Faizsiz kreditlə Nərimanovda yeni mənzil sahibi olun: "City Garden Narimanov" - "Kristal!"
BOKT adını və təşkilati-hüquqi formasını dəyişib
Azərbaycan Çindən portağal alışını 267 dəfə artırıb











.jpg)












