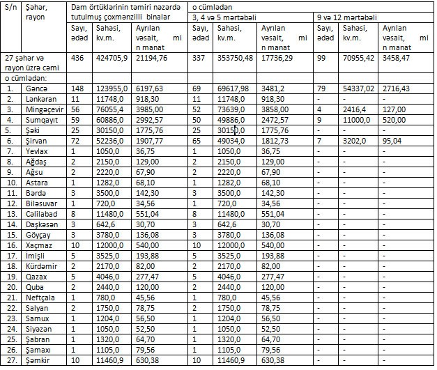
436 binanın dam örtüyü təmir ediləcək - 21 MİLYON MANATLIQ SƏRƏNCAM
Azərbaycan Respublikasının Prezidenti İlham Əliyev, "Azərbaycan Respublikasının şəhər və rayonlarında çoxmənzilli binaların dam örtüklərinin təmiri ilə bağlı əlavə tədbirlər haqqında" Sərəncam imzalayıb.
"Marja" xəbər verir ki, Sərəncama əsasən, Azərbaycanın 27 şəhər və rayonunda 436 çoxmənzilli binanın dam örtüyünün təmiri məqsədi ilə “Azərbaycan Respublikasının 2018-ci il dövlət büdcəsi haqqında” Azərbaycan Respublikası Qanununun tətbiqi ilə bağlı bir sıra məsələlər barədə” Azərbaycan Respublikası Prezidentinin 2017-ci il 25 dekabr tarixli 1756 nömrəli Fərmanının 1.14.3.3.9-cu (islahatlarla bağlı xərclər) yarımbəndində nəzərdə tutulan vəsaitdən 21 194 760 (iyirmi bir milyon bir yüz doxsan dörd min yeddi yüz altmış) manat bu Sərəncama əlavə olunmuş siyahıya uyğun şəhər, rayon icra hakimiyyətlərinə ayrılıb.
Dam örtüklərinin təmiri nəzərdə tutulmuş çoxmənzilli binaların şəhər və rayonlar üzrə bölgüsünə dair siyahı
Müştərilərin xəbərləri
SON XƏBƏRLƏR
- 1 ay sonra
- 3 həftə sonra
-
6 saat əvvəl
Bakı–Tbilisi–Bakı sərnişin qatarlarının fəaliyyətilə bağlı yeni məlumat
-
- 8 saat əvvəl
-
8 saat əvvəl
Barclays: Robotlar Çinin işçi qüvvəsi itkisinin 60 faizini kompensasiya edə bilər
-
9 saat əvvəl
Azercell “Baku Flames” festivalında ilin “Ən Yaxşı Yerli Brend”i seçildi
-
9 saat əvvəl
AIREX 2026: Azərbaycan beynəlxalq daşınmaz əmlak sərgisinə ev sahibliyi edəcək
-
9 saat əvvəl
İnnovativ Gac Aion i60 modelinin Bakıda möhtəşəm təqdimatı baş tutdu
-
10 saat əvvəl
Sağlamlıq haqqında tibbi arayış olmadan işə qəbul qadağan edilir
- 10 saat əvvəl
- 11 saat əvvəl
-
11 saat əvvəl
Eldar Əzizov: Güclü yağışlarla mübarizə üçün Bakıda islahatlara ehtiyac var
Son Xəbərlər
Azvak.az-da yeni iş elanları
55 manatdan bank səhmdarı olmaq fürsəti: SON 25 GÜN
Neft İranla bağlı xəbərlər fonunda ucuzlaşır
İnnovativ Gac Aion i60 modelinin Bakıda möhtəşəm təqdimatı baş tutdu
Sağlamlıq haqqında tibbi arayış olmadan işə qəbul qadağan edilir
Ən çox oxunanlar
Dolların sabah üçün rəsmi məzənnəsi müəyyən olunub
1 gündə 500-ə yaxın sığortalı zərər görüb
Azərbaycanda daha bir aqropark yaradılıb
"İnvestAZ" ADPU Quba filialında seminar keçirib
Nazir Nəbiyev Dünya Bankının nümayəndə heyəti ilə görüşüb















.jpg)









